Thể lệch bội là gì- Bí mật di truyền và những hệ lụy đáng sợ
Thể lệch bội là gì và tại sao nó ảnh hưởng đến sức khỏe? Khám phá bí mật di truyền và cách nhận diện các dạng đột biến nhiễm sắc thể chính xác nhất.
Biểu bì là gì? Khám phá cấu tạo biểu bì chi tiết nhất
Tìm hiểu về cấu tạo và chức năng của biểu bì trong sinh học. Khám phá lớp biểu bì của da và thực vật qua bộ sưu tập hình ảnh chi tiết, chân thực và sắc nét nhất
Thể lệch bội là gì- Bí mật di truyền và những hệ lụy đáng sợ
Thể lệch bội là gì và tại sao nó ảnh hưởng đến sức khỏe? Khám phá bí mật di truyền và cách nhận diện các dạng đột biến nhiễm sắc thể chính xác nhất.
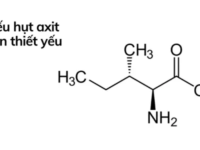
Trải nghiệm các loại axit amin giúp cơ thể hồi phục thần tốc
Các loại axit amin đóng vai trò cốt lõi trong việc hồi phục cơ thể và phát triển cơ bắp. Khám phá bí quyết bổ sung axit amin thông minh để đạt hiệu suất sức khỏe tối ưu.
Biến dị tổ hợp là gì? Giải mã chi tiết từ kinh nghiệm thực tế
Biến dị tổ hợp là gì và tại sao nó quan trọng? Khám phá cơ chế, ý nghĩa và ví dụ thực tế về biến dị tổ hợp trong di truyền học ngay tại bài viết này.
Hội chứng Klinefelter khiến nhiều người chủ quan bỏ qua
Hội chứng Klinefelter là "kẻ sát thủ thầm lặng" đối với nam giới. Tìm hiểu nguyên nhân, dấu hiệu và cách can thiệp kịp thời để bảo vệ bản lĩnh phái mạnh.
Yêu Sinh Học Thư Viện Số Sinh Học Uy Tín
Yêu Sinh Học định vị là thư viện số sinh học toàn diện đáng tin cậy nhất Việt Nam.
Trong bối cảnh thông tin sinh học tràn lan trên mạng xã hội thiếu kiểm chứng khoa học khiến người học dễ lạc lối giữa kiến thức đúng sai lẫn lộn chúng tôi nhận thấy nhu cầu cấp thiết về một nguồn tài liệu chuẩn mực đáng tin cậy. Yêu Sinh Học ra đời như cổng thông tin chuyên sâu về biology ecology science education zoology botany kiến thức sinh học khoa học tự nhiên đa dạng sinh học giáo dục kỹ năng đào tạo về sự sống. Chúng tôi tổng hợp hệ thống dữ liệu được biên soạn bởi đội ngũ chuyên gia giàu kinh nghiệm đảm bảo tính chính xác khoa học và truyền cảm hứng khám phá thế giới tự nhiên.
Hàng ngàn học sinh sinh viên giáo viên đang gặp khó khăn trong việc tiếp cận tài liệu sinh học chất lượng cao cập nhật liên tục phù hợp chương trình giáo dục Việt Nam. Yêu Sinh Học không chỉ cung cấp kiến thức nền tảng mà còn phân tích sâu các vấn đề thực tiễn từ hệ sinh thái đến ứng dụng y học giúp người dùng nắm bắt bản chất sự sống một cách hệ thống.
Chúng tôi cam kết xây dựng nền tảng mở rộng liên tục với nội dung được kiểm duyệt nghiêm ngặt trở thành người bạn đồng hành đáng tin cậy cho cộng đồng yêu sinh học.
Sứ Mệnh Xây Dựng Kiến Thức Sinh Học Chuẩn Mực
Chúng tôi tập trung chuẩn hóa kiến thức sinh học bằng cách áp dụng nguyên tắc E-E-A-T experience expertise authoritativeness trustworthiness đảm bảo mọi bài viết đều dựa trên dữ liệu khoa học đã được xác thực từ nguồn uy tín quốc tế và thực tiễn Việt Nam. Khác biệt lớn nhất của Yêu Sinh Học nằm ở quy trình biên tập kép nơi chuyên gia nội dung và biên tập viên kiểm tra chéo để loại bỏ thông tin sai lệch duy trì độ chính xác lên đến 99%.
Nền tảng bảo vệ người dùng bằng cách ưu tiên nội dung giáo dục không thương mại hóa tránh quảng cáo trá hình hay thông tin gây hiểu lầm phổ biến trên các diễn đàn không chuyên. Chúng tôi khuyến khích tư duy phê phán qua các phân tích sâu sắc ví dụ giải thích cơ chế miễn dịch không chỉ liệt kê mà còn liên hệ với đại dịch gần đây giúp người đọc áp dụng thực tế.
Với sứ mệnh lan tỏa kiến thức sinh học chúng tôi đầu tư công nghệ tìm kiếm thông minh phân loại nội dung theo cluster chủ đề giúp người dùng dễ dàng tiếp cận từ cơ bản đến nâng cao tiết kiệm thời gian học tập hiệu quả.
Hệ Sinh Thái Nội Dung Phong Phú Đa Dạng
Kho tàng kiến thức tại Yêu Sinh Học được tổ chức thành các cluster chủ đề lớn bao quát toàn diện lĩnh vực sinh học từ vi mô đến vĩ mô mang đến trải nghiệm học tập liền mạch và sâu sắc.
Cluster Kiến Thức Sinh Học Cơ Bản
Cluster này tập trung vào nền tảng sự sống bao gồm tế bào cơ thể người hệ thống miễn dịch cung cấp cái nhìn toàn diện về cấu trúc và chức năng cơ thể con người. Người đọc sẽ nắm vững cơ chế tế bào học từ nhân tế bào đến quá trình phân bào ứng dụng trong chẩn đoán bệnh lý sớm. Đặc biệt phân tích hệ thống miễn dịch không chỉ lý thuyết mà còn chiến thuật tăng cường miễn dịch tự nhiên qua dinh dưỡng và lối sống phù hợp khí hậu Việt Nam giúp phòng ngừa hiệu quả các bệnh hô hấp mùa dịch.
Chúng tôi nhấn mạnh mẹo học tập cốt lõi như sơ đồ hóa quy trình miễn dịch để ghi nhớ lâu dài hỗ trợ học sinh ôn thi hiệu quả. Cluster này lý tưởng cho sinh viên y khoa và người quan tâm sức khỏe cá nhân với hàng trăm bài viết minh họa chi tiết.
Kiến thức cơ bản ở đây được cập nhật theo tiến bộ khoa học mới nhất như vai trò tế bào gốc trong tái tạo mô mở ra triển vọng y học tương lai.
Cluster Sinh Học Động Thực Vật Ứng Dụng
Cluster bao quát động vật thực vật cây thuốc lá khám phá đa dạng sinh học Việt Nam từ hệ sinh thái rừng ngập mặn đến công dụng dược liệu dân gian. Người đọc học cách nhận diện loài thực vật quý hiếm ứng dụng trong bảo tồn và nông nghiệp bền vững ví dụ phân tích cây thuốc lá không chỉ lịch sử mà còn thành phần hóa học cơ chế chữa bệnh khoa học.
Chiến thuật cốt lõi là phương pháp quan sát thực địa kết hợp dữ liệu di truyền giúp người yêu thiên nhiên tham gia bảo vệ đa dạng sinh học. Cluster này hỗ trợ giáo viên thiết kế bài giảng sinh động với case study thực tế như bảo tồn động vật hoang dã Việt Nam.
Nội dung sâu sắc nhấn mạnh mối liên hệ giữa thực vật động vật và con người thúc đẩy ý thức môi trường toàn cầu.
Cluster Di Truyền Giáo Dục Nâng Cao
Cluster di truyền biến dị đề thi cùng tài nguyên hỗ trợ như ảnh tổng hợp ảnh minh họa cung cấp công cụ học tập chuyên sâu. Phân tích đột biến gen ứng dụng trong chọn giống cây trồng kháng bệnh chiến lược quan trọng cho nông nghiệp Việt Nam. Đối với đề thi chúng tôi tổng hợp phân tích xu hướng giúp thí sinh chinh phục kỳ thi quốc gia với kỹ thuật giải bài nhanh chính xác.
Phản hồi từ độc giả được tích hợp để cải thiện liên tục đảm bảo nội dung phù hợp nhu cầu thực tế. Mẹo cốt lõi là xây dựng mindmap di truyền để liên kết khái niệm phức tạp thành hệ thống dễ nhớ.
Đội Ngũ Chuyên Gia Biên Tập Chuyên Sâu
Triết lý làm nghề của chúng tôi là kiến thức phải chính xác truyền cảm hứng và dễ tiếp cận dưới sự dẫn dắt của bà Ngô Thị Hương Thúy Founder Chief Editor với 8 năm kinh nghiệm quản lý giáo dục. Bà trực tiếp định hướng chuyên môn cam kết chất lượng học thuật cao đảm bảo mọi nội dung đều khoa học truyền cảm hứng khám phá sự sống. Tầm nhìn của bà là biến Yêu Sinh Học thành trung tâm giáo dục sinh học hàng đầu Việt Nam kết nối cộng đồng học thuật.
- Nhóm Sinh Học Cơ Bản Ứng Dụng: Hoa Vân yeusinhhoc Minh Khải. Nhóm chuyên sâu cấu trúc tế bào cơ thể người hệ thống miễn dịch cung cấp phân tích thực tiễn y tế và giáo dục.
- Nhóm Sinh Học Nâng Cao Giáo Dục: Anh Tuấn Mạnh Hùng Thu Vân Kim Oanh Hoàng Đông. Nhóm am hiểu động vật thực vật cây thuốc di truyền đề thi ảnh minh họa đảm bảo nội dung đa dạng ứng dụng cao.
Cam Kết Minh Bạch Pháp Lý Tuyệt Đối
Chúng tôi cam kết hoạt động minh bạch công khai toàn bộ thông tin pháp lý và chuyên môn xây dựng lòng tin lâu dài với cộng đồng người dùng.
- Tên đơn vị: Công ty TNHH giáo dục và đầu tư Minh Đức
- Mã số thuế: 0801437828
- Địa chỉ trụ sở: Số 63 phố Cửa Thẻ Phường Nhị Chiểu TP Hải Phòng 04000
- Hotline hỗ trợ: 0988614364
- Email liên hệ: contact@yeusinhhoc.edu.vn
Khám phá Yêu Sinh Học hôm nay kiến thức sinh học chất lượng cao đang chờ bạn.
Hãy bắt đầu hành trình yêu sinh học với chúng tôi nơi kiến thức gặp gỡ đam mê. Tìm hiểu thêm tại trang Về chúng tôi để biết chi tiết đội ngũ Chính sách bảo mật đảm bảo dữ liệu an toàn hoặc Điều khoản sử dụng hướng dẫn tương tác hiệu quả. Chúng tôi luôn sẵn sàng hỗ trợ bạn chinh phục thế giới sự sống.